
本篇笔记文档名 👇

•27专业课-396数学零基础通关测试卷讲解(周洋鑫)✔
本讲义为周洋鑫396数学零基础提前学课堂手迹版,聚焦微积分基础知识点,包含等价无穷小公式推导(如x-sin x ~ 1/6 x³、tan x – sin x ~ 1/2 x³等)、积分基本公式应用(如∫1/(x²+a²)dx=1/a arctan(x/a)+c等)、函数奇偶性判定(通过f(-x)=-f(x)判断奇函数)、极限计算(如tanx-sinx与xⁿln(1+x)同阶无穷小求n=2,lim(x→0)[tanx – tan(tanx)]tanx/(1 – cosx²)=-2/3等典型题型),通过例题解析帮助零基础学生掌握396数学核心题型,为后续强化复习奠定基础。
文档的预览图如下,需要完整PDF文件的同学,文末有文档编码,保存后即可直接打印使用。




📑27专业课-396数学零基础通关测试卷讲解(周洋鑫)
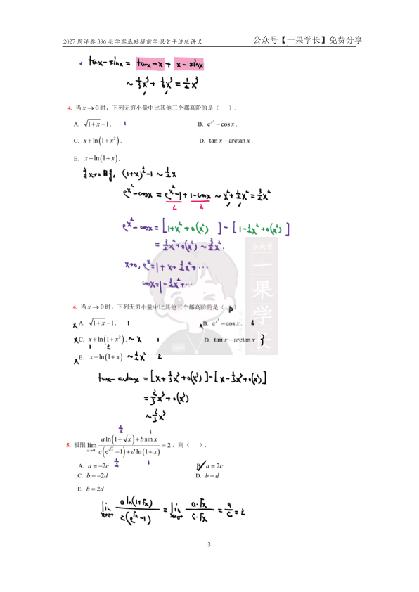
- 奇函数判定:已知四个函数,(1)f(x)=ln(1+x)/(1-x)为奇函数;(2)f(x)=ln(1-x)+ln(1+x)为偶函数;(3)f(x)=(eˣ+1)/(eˣ-1)为奇函数;(4)f(x)=x sin x + cos x为偶函数。共2个奇函数,选C。2. 复合函数f[f(x)]:当x≤0时,f[f(x)]=x+2;当x>0时,f[f(x)]=2。3. 同阶无穷小:tanx-sinx ~ 1/2 x³,xⁿln(1+x) ~ xⁿ⁺¹,同阶得n=2。4. 高阶无穷小:tanx-arctanx ~ 1/3 x³,比其他选项高阶,选D。5. 极限计算:lim(x→0)[tanx – tan(tanx)]tanx/(1 – cosx²)=-2/3。
